Loading
山花艺术网
服务
|
注册
登陆
首页
艺术简历
艺术展厅
艺术资讯
艺术相册
丁其明艺术网 > 书画展厅
此页面被浏览18308次 2013-02-27
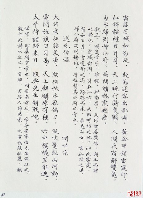
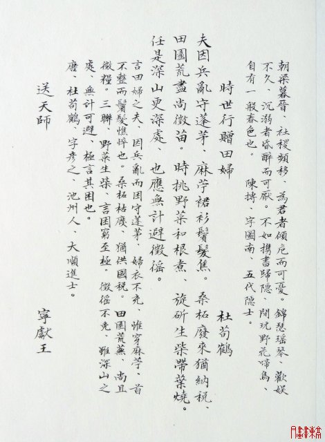
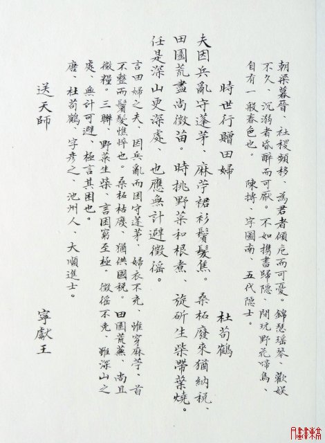
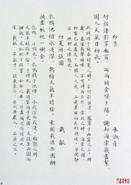
丁其明小楷·千家诗
艺术类别:书法(楷书)
艺术形式:册页
装 裱:画心
作品编号:No.000325
更新日期:2013-02-27
丁其明 小楷:《千家诗》(节选)
[
返回
] [
关闭
]
书画推荐
.....................
more
·
王春景-登高赋新诗
·
首届渠阳文化艺术节集体创作山水画
·
萧宽一片冰心在玉壶
·
陈学周国画-九如图76
·
辛宇凌 金石纸艺·心经
·
方人也国画 - 紫气祥云
·
关山雨 国画斗方
·
张景源 书法
·
周五龙书法三
·
吉祥画派杨馨国画
·
吉祥画派杨馨国画
·
王春景-国画紫云
·
郭玉林国画-牡丹
·
远方-腾云驾日
·
范润华题字
·
李延春书法126
·
谷伯言国画-山水70
·
李金生工笔-鸳鸯55
·
关艳茹国画-山水25
·
徐丽军-剪贴画-富贵平安
会员中心
|
关于我们
|
书画服务
|
友情链接
|
帮助信息
|
艺术顾问
|
CopyRight 2012-2026 www.shanhuawang.com All Rights Reserved
Design:
Apple
Media
Email:applemedia@126.com QQ:52104973
津ICP备2024022288号-1
津公网安备12011502000924号
/3474